顏色色彩管理、配色

CIELuv顏色空間的色差值是怎么計算的?
CIELuv顏色空間是顏色量化中常用的一個顏色空間,該顏色空間是CIE規定的均勻顏色空間,其在表示顏色之間的差異時,與人眼之間具有良好的一致性。那么,CIELuv顏色空間的色差值是怎么計算的?本文對CIELuv顏色空間及其色差值的計算方法做了簡要介紹。

CIELuv顏色空間介紹:
CIELuv顏色空間也是基于CIEXYZ顏色空間建立,與CIEXYZ顏色空間之間存在一定的轉化關系。CILuv顏色空間的設計目標是使顏色空間中的歐幾里得距離更接近人眼感知的顏色差異,即實現視覺上的均勻性。CIELuv顏色空間由L*(亮度)、u*(綠-紅方向的色度坐標)、v*(藍-黃方向的色度坐標)構成,其具體含義如下:
L*:表示顏色的明亮程度,反映了顏色的明暗程度,取值范圍從0(絕對黑色)到100(絕對白色)。
u*:表示綠-紅方向的色度,是描述顏色在紅綠藍維度上位置的一個參數。u*值的正負和大小反映了顏色在該維度上的偏向和程度。u*為正值時,表示顏色在該維度上偏向紅色或黃色方向的程度;u*為負值時,表示顏色偏向綠色或藍色方向的程度。
v*:表示藍-黃方向的色度,v*值的變化反映了顏色在另一個維度上的偏向和程度,與u*相互配合來完整地表達顏色的色度特性。v*值為正時,顏色偏向黃色或藍色方向;v*值為負時,顏色偏向紅色或綠色方向。
CIELuv顏色空間的色差值是怎么計算的?
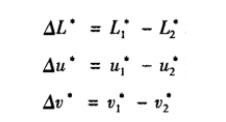
CIELUV色差公式是以CIELUV顏色空間為基礎建立的色差公式,在L*u*v*色度體系中,若兩個色樣樣品都按L*、u*、v*來標定顏色,則兩者之間的總色差△E*uv以及各項單項色差可用下列公式計算:

式中,ΔE*uv是兩個顏色的色差;△L*,△u*,△v*是兩個顏色相應量的差,由下式決定:

CIELuv顏色空間與CIEXYZ顏色空間轉換關系:
色彩空間轉換意味著將一個色彩空間中的顏色特征信息轉換到另一色彩空間以,獲得相應的顏色信息,即用不同色彩空間中的數據來表示相同的顏色。CIELUV顏色空間的L*,u*,v*是X,Y,Z通過非線性變換得到的,用兩點間的距離表示顏色之間的色差。從CIEXYZ顏色空間到CIELuv顏色空間的轉換,可以利用下列公式來完成:
