顏色色彩管理、配色

CIELAB(L*C*H*)顏色空間及色差計算式
在CIELAB(L*C*H*)表色系中,L*值對應于色三要素的明度值。a*、b*為色度值,C*代表飽和度,ho代表色調角。某一顏色的坐標位置與原點的距離為飽和度C*,b*與a*的比值為色調角h*的正切值。因而,(a*,b*)和(C*,h*)在表色系下代表同一點。本文對CIELAB(L*C*H*)顏色空間及色差計算式做了介紹。

CIELAB(L*C*H*)顏色空間介紹:
CIELAB表色系統是一個由無數色彩點均勻分布組成的假想三維球體,用L*、a*、b*色彩參數來定位每一個色彩點。球體的垂直中軸表示固有明度的分級,用L*表示。從下至上由0~100,明度逐漸增加;彩度變化表現為色相在球形的橫截面上的,數值越大,越向周邊,彩度越大,顏色越鮮明;數值越小,越靠近縱軸,彩度越小,顏色越不鮮明;色相的變化表現在球形橫截面上,a表示紅色方向,-a表示綠色方向,b是黃色方向,-b是藍色方向,a*、b*的取值范圍從-80到80。
因為CIE L*a*b*表色系統沒有直觀表達色彩飽和度和色相的參數,因此,國際照明委員會同期提出了CIE L*C*h表色系統(計量心里量)。此系統在沒有色相和飽和度的情況下,也可以用數值表示。L*表示縱軸方向的明度;C*代表彩度,主要表現為離縱軸的遠近,越靠近縱軸,數值越小,彩度越小,顏色越暗淡;h代表色相,表現為與紅色方向的交角。根據數學上三角函數的原理,CIEL*C*h表色系統與CIEL*a*b*表色系統之間的色度值可以相互轉換:C*=(a*2+b*2)1/2,h=arctan(b*/a*)。該系統同時可以直接計算明度和彩度的差異,而色相的差異可以通過換算后間接得出,即:△L*=L1*-L2*;△C*=C1*-C2*;△h=(△E2-△L2-△C2)1/2。
CIELAB(L*C*H*)顏色空間色差計算式:
1.CIEL*a*b*色差計算式
CIEL*a*b*色差公式是一種建立在孟塞爾顏色系統之上的計算公式,在該顏色空間中,只有黃、藍、紅、綠四種基本色,每一個點都可以用其黃、藍或紅、綠的程度來表示。
在這個三維的顏色空間中,L*軸用來表示顏色的明亮程度,稱為明度,其取值在0~100,數值越高則明度越高;a*軸用來表示顏色的紅綠特征,如果其數值是正值,則表示顏色是偏紅的,反之則意味著顏色偏向于綠色;b*軸用來表示顏色的黃藍特性,如果其數值是正值,意味著顏色偏向于黃色,反之則意味著顏色偏向于藍色。
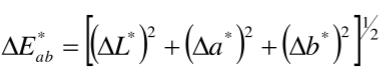
CIELAB色空間色差的定義就是兩個顏色在 CIELAB均色空間的歐式距離,具體色差公式為:

式中,△L*、△a*、△b*分別為樣品與標準樣在L*、a*、b*上的差值。
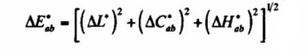
2.CIEL*C*H*色差計算式
與CIELAB色差公式用a*、b*表示顏色的紅綠、黃藍程度不同,CIELAB(L*C*H*)色差公式則是用C*、H*表示顏色的鮮艷程度與顏色在色相環上的色度角。
彩度C*用a*軸與b*軸所處的平面表示,在此顏色空間上的任意一點到平面中心軸線的距離為該點的彩度值,其計算公式為:C*=[(a*)2+(b*)2]1/2。
色相角H*該點與平面中心線的連線與a*軸沿著逆時針方向上形成的夾角表示:H=tan-1(b*/a*)。
CIELAB(L*C*H*色差公式與 CIELAB色差公式相似:

由于CIELAB色差公式可以通過L*、C*、H*直觀地表現出顏色在明度、飽和度、色相上的信息,色彩管理者對顏色可以得到更加直觀的調整和應用,因此在印染、油墨、染料等領域得到了廣泛的應用。